 |
30 tháng 8, 2010 |
Trí tưởng tượng của con người rất quan trọng đối với sự
nhận thức, hình dung để hiểu biết về thế giới tự nhiên trong vũ trụ. Đáng tiếc
là rất hiếm người có sức tưởng tượng kỳ diệu như nhà bác học lừng danh Albert
Einstein, người đã mở đường, khám phá vạch ra thuyết tương đối khiến cho nhân
loại được mở rộng tầm nhận thức thấy được sự biến đổi, sự “cong” của không gian
và thời gian, điều mà trước đó không ai hình dung ra, tưởng tượng nổi, kể cả nhà
bác học vĩ đại Newton. Tuy nhiên, Einstein dường như đã cố tình để lại dấu ấn
gây nên sự tò mò, kích thích trí tưởng tượng, óc sáng tạo cao độ cho thế hệ tiếp
theo bằng một tiên đề cực kỳ mâu thuẫn đối với chính lý thuyết tương đối của
ông. Rằng: tất cả mọi thứ trên thế gian này đều là tương đối, duy nhất chỉ có
vận tốc ánh sáng truyền dẫn trong “chân không” là hằng số, tuyệt đối không thay
đổi.
Đọc kỹ thuyết tương đối hẹp và tổng quát của Einstein,
quả thực chúng ta phải thông cảm với ông, bởi lẽ để diễn giải được tính biến
đổi, sự “cong” của không gian, thời gian, những thứ rất trừu tượng khó hiểu đó
cho mọi người dễ hiểu, buộc lòng phải nêu ra sự chấp nhận tiên đề vận tốc ánh
sáng là hằng số tuyệt đối không thay đổi dù đó không phải là sự thật, không phải
là chân lý. Hơn nữa, tại thời điểm đó, trong khi khoa học đã thực nghiệm, kiểm
định rất nhiều lần và đã thống nhất kết luận công nhận vận tốc ánh sáng là hằng
số không thay đổi theo mọi phương và không phụ thuộc vào nguồn chuyển động, thử
hỏi ai dám và dựa vào bằng chứng nào để phủ định điều đã được kết luận đó?
Einstein không sử dụng điều đã được kết luận do thực nghiệm khoa học chứng minh
thì ngay lập tức thuyết tương đối đã bị quăng vào sọt rác, không ai thèm xem,
nguyện vọng mô tả sự “cong” của không gian và thời gian sẽ bị sụp đổ.
Ngày nay khoa học đã phát triển vượt bậc so với thế kỷ
trước, trình độ nhận thức của các nhà khoa học đã ở mức cao hơn nên những cái gì
không thuộc về chân lý, sự thật dần dần sẽ bị loại bỏ. Tiên đề vận tốc ánh sáng
là hằng số tuyệt đối không thay đổi trong thuyết tương đối của Einstein không
phải là chân lý, do đó trong tương lai chắc chắn sẽ không còn tồn tại. Chúng ta
may mắn hơn Einstein vì ông là người đầu tiên khai phá mở đường cho chân lý
không có gì là tuyệt đối, tất cả đều chỉ là tương đối. Einstein không có ai để
dựa, để cung cấp bằng chứng phủ định cho cái duy nhất trớ trêu còn tồn tại là
sự tuyệt đối không đổi của vận tốc ánh sáng, còn chúng ta may mắn có ông làm chỗ
dựa vững chắc là chính ông đã cung cấp bằng chứng để phủ định điều đó.
Để chứng minh cho vấn đề vận tốc ánh sáng cũng chỉ mang
tính tương đối chứ không phải là hằng số tuyệt đối, vận tốc ánh sáng cũng bị
biến đổi, cũng bị “cong” trong không gian-thời gian “cong”, điều trước tiên
chúng ta phải hiểu sâu sắc thuyết tương đối của Einstein và những bài phản biện
có lý lẽ thuyết phục. (Đề nghị xem bản gốc “On the Electrodynamics of moving
bodies” tại website:
https://www.fourmilab.ch/etexts/einstein/specrel/www/ ,
bài phản biện “Stop teaching Einstein’s Special relativity”
tại website:
https://wbabin.net/science/ cuong17.pdf ,
các bài “Viết lại thuyết tương đối của Einstein”, tại
website:
https://wbabin,net/science/cuong18.pdf
https://wbabin.net/science/cuong19.pdf
https://wbabin.net/science/cuong20.pdf ).
Tiếp theo cũng phải cần định nghĩa lại không gian, thời
gian cho thật dễ hiểu.
Định nghĩa về không gian:
Trong thuyết tương đối hẹp, Einstein đã đưa ra tiên đề
thứ hai với nội dung khái quát: Vận tốc ánh sáng là hằng số, không phụ thuộc
vào nguồn phát sáng chuyển động trong không gian trống rỗng (empty space). Các
nhà vật lý chuyên môn dịch ra tiếng Việt và dùng thuật ngữ vận tốc ánh sáng là
hằng số trong “chân không”. Như vậy không gian trống rỗng (empty space) hay môi
trường “chân không” được hiểu theo nghĩa là một khoảng không gian hoàn toàn
trống rỗng trong đó không chứa bất cứ một “trường” hay một “chất” mang tính vật
chất nào. Hiểu và định nghĩa về không gian trong thuyết tương đối như vậy là
không chính xác, sẽ dẫn đến không nhận thức được sâu hơn và vẫn coi không gian
mang tính tuyệt đối. Bởi lẽ không gian tuyệt đối trống rỗng như vậy thì không
gian sẽ vẫn là một đại lượng vật lý duy nhất không thay đổi tại các hệ quy chiếu
quán tính. Làm sao khoảng không trống rỗng lại có thể bị thay đổi, bị co hay dãn
để mang tính tương đối? Không gian của hệ này khác với không gian của hệ kia?
Ít nhất là thế kỷ trước không ai để ý tới trường hấp
dẫn vô hình, vô tướng mắt không nhìn thấy, tay không sờ được đã tồn tại trong
không gian. Thuyết tương đối hẹp ra đời năm 1905, mười một năm sau, vào năm 1916
Einstein đã sửa sai bằng thuyết tương đối tổng quát phát biểu rằng vận tốc ánh
sáng bị thay đổi trong trường hấp dẫn. Tại nơi trường hấp dẫn mạnh không gian bị
bóp méo, không “thẳng” nữa mà bị “cong”. Nếu tinh ý bạn sẽ thấy: không gian là
tuyệt đối trống rỗng, hay “chân không” không chứa bất cứ cái gì mà lại bị lực
hấp dẫn bóp méo “thẳng” thành “cong” ? bạn thấy có nghe được không ? Vì vậy
chúng ta phải hiểu rằng không gian là một khoảng không có chứa đầy một “chất”
hay một “trường” siêu hình nào đó mà khoa học hiện đại ngày nay chưa thể hiểu và
chưa thể khám phá ra được. “Chất” hay “trường” siêu hình đặc trưng và gọi là
không gian nói chung này có thể thay đổi do trường hấp dẫn thay đổi. Đặc điểm
nổi bật của không gian nói chung, cụ thể là trong từng hệ quy chiếu quán tính có
trường hấp dẫn ổn định: ánh sáng luôn luôn lan truyền với vận tốc không đổi bằng
c≈3.108m/s ≈ 300.000 km/s. Thực nghiệm đã kiểm chứng đúng điều này.
Như vậy, không gian trống rỗng (empty space) hay “chân
không” trong thuyết tương đối không phải là không gian tổng quát chung cho toàn
bộ vũ trụ, mà là không gian cụ thể của từng hệ quy chiếu trong đó có trường hấp
dẫn ổn định. Trong không gian trống rỗng (empty space) cụ thể của từng hệ quy
chiếu đó có chứa thêm cái gì ngoài trường hấp dẫn ? Không cần biết, chỉ biết
rằng trong không gian trống rỗng đó vận tốc ánh sáng là hằng số không thay đổi
theo mọi phương và không phụ thuộc vào nguồn phát sáng.
Định nghĩa về thời gian:
Thời gian nói chung là một đại lượng vật lý được đo
bằng khoảng bức xạ tự nhiên của vật chất, nôm na dễ hiểu hơn là khoảng thời gian
trôi khi trái đất tự quay quanh trục được đúng một vòng gọi là một ngày đêm. Từ
đó chia nhỏ ra theo quy ước đến mức đơn vị là một giây (ký hiệu là s ). Ta cũng
có thể lấy đơn vị đo thời gian trôi cơ bản liên quan thống nhất với không gian
cụ thể của từng hệ quy chiếu là vận tốc ánh sáng làm mốc, bởi trong từng hệ quy
chiếu vận tốc ánh sáng là hằng số. Nghĩa là thời gian mà khoảng cách ánh sáng
lan truyền theo đường thẳng trong không gian xấp xỉ 3.108m được tính
là thời gian trôi đúng một giây: (s) theo hệ quy chiếu có trường hấp dẫn ổn định
của mình.
Để dễ hiểu hơn nữa khi đưa thí dụ mô tả sự “cong” của
vận tốc ánh sáng trong không gian và thời gian “cong”, chúng ta cần hiểu sơ qua
một phần Thuyết tương đối tổng quát. Thuyết tương đối tổng quát đã mô tả tại nơi
có trường lực hấp dẫn mạnh, không gian bị bóp méo, bị “cong”, đơn vị thước đo
khoảng cách sẽ khác đi, thời gian cũng bị biến dạng nên trôi chậm hơn những nơi
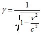
có trường lực hấp dẫn yếu. Ví dụ, lấy đơn vị đo không gian và thời gian trôi
trong trường hấp dẫn xung quanh trái đất làm chuẩn, giả thiết đơn vị đo khoảng
cách (biểu tượng đặc trưng cho không gian) là km và đơn vị đo thời gian trôi là
giây: s , thì đơn vị đo không gian, thời gian trôi trong trường hấp dẫn xung
quanh một hành tinh nào đó có khối lượng lớn hơn trái đất nhiều lần sẽ là km’=
km.γ và s’= s.γ (trong đó γ > 1 gọi là hệ số dãn, đề nghị xem kỹ phần §6: vận
tốc ánh sáng phụ thuộc vào trường hấp dẫn tại website:
https://wbabin.net/science/cuong18.pdf ).
Thí dụ minh họa sự “cong” của vận tốc ánh sáng
Giả thiết trong không gian trống rỗng (empty space) của
vũ trụ có 3 hành tinh, đặt tên là hành tinh 1, hành tinh 2 và hành tinh 3 , được
định vị tại các đỉnh của một tam giác đều tưởng tượng. Mỗi cạnh của tam giác đều
có chiều dài là 600.000 km tính theo đơn vị đo của hành tinh 1. Tại hành tinh 1
có bố trí một ngọn đèn pha cùng một người quan sát có đồng hồ và nhiệm vụ theo
dõi thời gian di chuyển của tia sáng từ ngọn đèn pha đó khi chiếu ánh sáng sang
hành tinh 2, phản chiếu sang hành tinh 3 rồi từ hành tinh 3 phản chiếu trở lại
nơi xuất phát tại Hành tinh 1. Tại hành tinh 2 bố trí một tấm gương ở góc độ đón
tia sáng từ hành tinh 1 chiếu tới và phản chiếu tia sáng đó sang hành tinh 3.
Tại hành tinh 3 cũng bố trí một tấm gương ở góc độ đón tia sáng từ hành tinh 2
chiếu sang và phản chiếu tia sáng quay trở về hành tinh 1. Xét thí dụ minh hoạ
sự “cong” của vận tốc ánh sáng trong 3 trường hợp.
Trường hợp thứ nhất :
Hành tinh 1, hành tinh 2 và hành tinh 3 có khối lượng
bằng nhau, nghĩa là trường hấp dẫn xung quanh cả 3 hành tinh như nhau, do đó
không gian và thời gian trôi của cả 3 hành tinh là đồng nhất. Người quan sát tại
hành tinh 1 tính thời gian trôi khi bắt đầu bật đèn pha chiếu tia sáng tới hành
tinh 2 , tia sáng phản chiếu sang hành tinh 3 rồi quay trở về nơi xuất phát.
Thời gian di chuyển của tia sáng người quan sát đo được là 6 giây:
Thời gian=khoảng cách/vận tốc = 3.(600.000 km) /
(300.000 km/s) = 6 s
Theo nhận xét của người quan sát tại hành tinh 1 thì
trong trường hợp này vận tốc ánh sáng vẫn là hằng số và truyền thẳng không có gì
đặc biệt. Xem minh họa tại Hình 1
Hình 1

Trường hợp thứ hai :
Hành tinh 1 và Hành tinh 2 có khối lượng bằng nhau,
nhưng hành tinh 3 có khối lượng cực lớn, lớn hơn nhiều so với khối lượng của
Hành tinh 1. Do vậy Hành tinh 3 có trường hấp dẫn mạnh đã bóp méo không gian và
thời gian xung quanh nó, dẫn đến đơn vị đo không gian và thời gian bị biến đổi
không còn là đơn vị đo không gian: km và thời gian: s như tại không gian và thời
gian của hành tinh 1 và Hành tinh 2 nữa. Không gian và thời gian xung quanh Hành
tinh 3 , trong trường hợp này có đơn vị đo không gian bị biến đổi là km’=km.γ và
đơn vị đo thời gian là s’= s.γ ,(trong đó γ gọi là hệ số dãn). Người quan sát
tại Hành tinh 1 vẫn thấy khoảng cách AB từ Hành tinh 1 tới Hành tinh 2 bằng nhau
với khoảng cách BC từ Hành tinh 2 tới Hành tinh 3 và khoảng cách AC từ Hành tinh
1 tới Hành tinh 3. (AB=BC=AC=600.000 km). Người quan sát tại Hành tinh 1 lại bật
đèn pha chiếu tia sáng tới hành tinh 2…và lại giở đồng hồ ra đo khi tia sáng đó
từ hành tinh 3 trở về vị trí xuất phát tại Hành tinh 1. Thật là lạ kỳ, người
quan sát thấy tia sáng di chuyển trên quãng đường không đổi AB, BC và AC đó thời
gian bị trễ, lớn hơn 6 giây so với trường hợp thứ nhất đã khẳng định vận tốc ánh
sáng là hằng số và bằng c≈300.000 km/s . Không có lẽ ánh sáng vào khu vực không
gian của Hành tinh 3 lại di chuyển theo đường cong ? Hoặc vận tốc ánh sáng lại
bị chậm lại ? Xem minh họa tại Hình 2 .
Theo bạn thì ánh sáng di chuyển tại không gian:
km.γ và thời gian: s.γ của Hành tinh 3 theo đường cong với vận tốc là c’=300.000
km.γ/s.γ hay vẫn theo đường thẳng nhưng với vận tốc là c’=300.000 km/s.γ =
(1/γ).(300.000 km/s) ?
Hình 2

Đối với người quan sát khi đứng tại vị trí Hành tinh 1 có
thể thấy trên quãng đường ½.BC và ½.AC trong khu vực không gian của Hành tinh 3
vận tốc ánh sáng dường như truyền theo đường cong (c’=300.000 km.γ/s.γ ), hoặc
vẫn theo đường thẳng nhưng bị chậm lại, vận tốc không còn là c=300.000km/s nữa
mà chỉ là
c’=300.000km/s.γ
=(1/γ).(300.000km/s)
Điều này hoàn toàn hợp lý bởi lẽ không gian xung quanh
Hành tinh 3 đã bị trường hấp dẫn của Hành tinh 3 bóp méo, khoảng cách ½.BC và
½.AC bằng 300.000 km.γ bị nén biến dạng hoặc trở thành đường cong hoặc vẫn là
đường thẳng nhưng là “đường thẳng đặc biệt” với độ dài 300.000 km.γ bị co lại
bằng 300.000 km đối với sự trông thấy và tính toán của người quan sát khi đứng
tại vị trí Hành tinh 1. Vì ánh sáng di chuyển tại khu vực không gian của Hành
tinh 3 nên thời gian trôi phải tính theo thời gian trôi tại Hành tinh 3 là s.γ
chứ không thể lấy thời gian trôi là s như tại ngay Hành tinh 1 . Còn nếu giả
thiết người quan sát đứng ngay tại vị trí Hành tinh 3, người quan sát sẽ thấy
vận tốc ánh sáng truyền trong không gian của Hành tinh 3 theo đường thẳng chứ
không cong hoặc theo “đường thẳng đăc biệt” như khi đứng quan sát tại Hành tinh
1 và vận tốc ánh sáng vẫn là hằng số với đơn vị thước đo không gian: km.γ và
thời gian: s.γ của Hành tinh 3 là c’=300.000 km.γ/s.γ chứ không có loại ánh
sáng c=300.000 km/s trong không gian của Hành tinh 3.
Trong bài “Định đề toán học 1:2≠2:4” (Mathematical
postulate: 1:2≠2:4 , tại website:
https://wbabin.net/science/cuong14.pdf ) đã giải thích rõ ràng rằng chúng ta
không thể tuỳ tiện giản ước phương trình theo kiểu toán học thuần tuý:
1/2=2/4=3/6=4/8 … , vận tốc ánh sáng c’=300.000 km.γ/s.γ ≠ c=300.000 km/s . Nếu
cứ tuỳ tiện giản ước cho đúng với toán học 1/2=2/4=3/6 …tức là c’=300.000
km.γ/s.γ = c=300.000 km/s thì sẽ không có sự biến đổi không gian và thời gian
tại các hệ quy chiếu như Einstein đã phát biểu, Thuyết tương đối của Einstein sẽ
không có giá trị. Chấp nhận Thuyết tương đối của Einstein thì phải chấp nhận
không thể giản ước phương trình theo kiểu toán học thuần tuý dù cho kiểu toán
học thuần tuý đó là đúng, nên rõ ràng phải có định đề toán học 1/2≠2/4≠3/6 …
Nghiã là c’=300.000 km.γ/s.γ khác với c=300.000 km/s .
Chân lý toán học trong trường hợp vận tốc ánh sáng tại khu
vực không gian-thời gian “cong” này cũng mang tính tương đối chứ không thể là
tuyệt đối đúng. Cứ máy móc khẳng định toán học 1/2=2/4=3/6…và thấy phân số
c’=300.000 km.γ/s.γ có γ tại tử số và mẫu số nên giản ước cho gọn thành
c=300.000 km/s thì trí tuệ con người vẫn bị hạn chế, không thể bứt phá vươn lên.
Vì những lẽ đó vận tốc ánh sáng không thể là hằng số
tuyệt đối đúng trong toàn vũ trụ, vận tốc ánh sáng cũng mang tính tương đối, nó
chỉ là hằng số tuyệt đối không thay đổi khi không gian và thời gian của hệ quy
chiếu tuyệt đối không thay đổi. Nghĩa là nếu không gian và thời gian của hệ quy
chiếu “cong” thì vận tốc ánh sáng cũng phải “cong” để phù hợp với tiên đề thứ
nhất trong chính thuyết tương đối: các quy luật vật lý diễn ra tại các hệ quy
chiếu quán tính đều như nhau.
Trường hợp thứ ba :
Hành tinh 1 và Hành tinh 2 có khối lượng bằng nhau nên
không gian và thời gian xung quanh chúng có đơn vị đo như nhau, (km và s ).
Nhưng khối lượng của Hành tinh 3 lại nhỏ hơn khối lượng của Hành tinh 1 và 2 rất
nhiều, do đó trường hấp dẫn của Hành tinh 3 rất yếu và vì thế không gian và thời
gian xung quanh Hành tinh 3 khác với không gian và thời gian xung quanh Hành
tinh 1 và 2. Nếu đơn vị đo không gian và thời gian của Hành tinh 1 và 2 là km và
s thì đơn vị đo không gian và thời gian của hành tinh 3 sẽ là km/γ và s/γ (trong
đó γ > 1 gọi là hệ số dãn, hệ số biến đổi không gian và thời gian trong thuyết
tương đối). Người quan sát có nhiệm vụ theo dõi đường đi của tia sáng vẫn đứng
tại Hành tinh 1 và lại bật đèn pha chiếu ánh sáng tới Hành tinh 2, đồng thời lấy
đồng hồ ra quan sát thời gian khi tia sáng đó từ Hành tinh 3 phản chiếu về Hành
tinh 1 như trong hai trường hợp trên. Đối với người quan sát đứng tại Hành tinh
1 thì khoảng cách giữa các Hành tinh 1 , 2 và 3 là AB, BC và AC trong cả 3
trường hợp không có gì thay đổi, đều bằng AB=BC=AC=600.000 km theo đơn vị đo của
mình. Kết quả cho thấy trường hợp thí nghiệm thứ ba này cũng gây cho người quan
sát tại Hành tinh 1 sự ngạc nhiên: tia sáng di chuyển từ điểm xuất phát tại Hành
tinh 1 tới Hành tinh 2, từ Hành tinh 2 tới Hành tinh 3, rồi từ Hành tinh 3 trở
về Hành tinh 1 quãng đường AB, BC và AC không đổi nhưng thời gian tia sáng di
chuyển lại nhỏ hơn, chưa đến 6 giây (s) như trường hợp thứ nhất. Nghĩa là vận
tốc ánh sáng không phải là hằng số, nó bị thay đổi vận tốc. Có lẽ trên quãng
đường ½.BC và ½.AC tại khu vực không gian: km/γ và thời gian: s/γ của Hành tinh
3 ánh sáng di chuyển với vận tốc c’’=300.000 (km/γ)/(s/γ) nhanh hơn vận tốc
c=300.000 km/s ?
Đúng vậy, Bởi trong khu vực không gian của Hành tinh 3
khoảng cách ½.BC và ½.AC bằng 300.000 km/γ đã bị kéo dãn ra bằng 300.000 km đối
với người quan sát đứng quan sát tại Hành tinh 1. Đưòng thẳng ½.BC và ½.AC trở
thàmh “đường thẳng đặc biệt”, đối với người quan sát đứng tại Hành tinh 3 nó là
300.000 km/γ, còn đối với người quan sát đứng tại Hành tinh 1 nó là 300.000 km .
Với người quan sát đứng tại Hành tinh 1 khoảng cách ½.BC và ½.AC trong khu vực
không gian của Hành tinh 3 tính toán theo thực tế trông thấy vẫn là 300.000km.
Còn về thời gian, thực tế ánh sáng di chuyển trong không gian và thời gian của
Hành tinh 3 nên phải tuân theo quy luật vật lý diễn ra tại Hành tinh 3. Tính
toán biết rằng đơn vị thời gian trôi tại Hành tinh 3 là s/γ chứ không phải là s
, do vậy người quan sát đứng tại Hành tinh 1 sẽ thấy vận tốc ánh sáng trên
khoảng cách ½.BC và ½.AC trong khu vực không gian và thời gian của Hành tinh 3
là
c’’=300.000 km/(s/γ)= γ.(300.000km/s) >
c=300.000 km/s
(Trong đó γ > 1 )
Còn đối với người quan sát đứng tại Hành tinh 3 họ chỉ
biết có khoảng cách ½.BC và ½.AC bằng 300.000 km/γ theo hệ thống đơn vị thước đo
khoảng cách không gian: km/γ của họ. Và vận tốc ánh sáng của họ bằng
c’’=300.000(km/γ)/(s/γ) theo đơn vị đo không gian: km/γ và thời gian: s/γ chứ họ
cũng không biết tới loại vận tốc ánh sáng c=300.000km/s . Xem minh họa tại
Hình 3 .
Hình
3

Rõ ràng là vận tốc ánh sáng tại khu vực không gian của
Hành tinh 3 lớn hơn vận tốc ánh sáng tại khu vực không gian của Hành tinh 1 và 2
theo sự quan sát của người quan sát đứng tại vị trí Hành tinh 1. Hiện tượng
“cong vênh” vận tốc khi ánh sáng di chuyển vào khu vực không gian-thời gian
“cong vênh” này theo ý kiến của các bạn vận tốc ánh sáng có còn là hằng số tuyệt
đối không thay đổi trong vũ trụ nữa hay không ? cái thước đo khoảng cách trong
vũ trụ: năm ánh sáng trong vật lý thiên văn liệu có còn giá trị ?
Cần phải lưu ý rằng ánh sáng di chuyển tại những nơi
không gian-thời gian đã bị biến đổi, bị “cong” thì vận tốc của nó cũng bị
“cong”, tần số, bước sóng của ánh sáng sẽ khác với tần số, bước sóng của ánh
sáng tại nơi không gian-thời gian chưa bị biến đổi, chưa bị “cong”. Chúng ta có
thể thấy và đo được loại ánh sáng thông thường c=300.000 km/s trong hệ
không gian-thời gian của mình chứ không thể thấy và cũng không thể đo được loại
“ánh sáng”: c’=300.000 km.γ/s.γ hay c’’=300.000 (km/γ)/(s/γ)
trong hệ không gian-thời gian khác đã bị “cong” .
Kết luận :
Qua thí dụ chỉ ra sự “cong” hay sự biến đổi của vận tốc
ánh sáng khi ánh sáng di chuyển trong khu vực không gian và thời gian đã bị biến
đổi do tác động của trường hấp dẫn, (theo thuyết tương đối hẹp và tổng quát của
Einstein), chúng ta có thể khẳng định vận tốc ánh sáng cũng mang tính tương đối,
chứ quyết không thể là hằng số tuyệt đối trong toàn vũ trụ.
Thí dụ trong trường hợp thứ hai đã chỉ
ra rằng tại những nơi không gian vũ trụ có trường hấp dẫn “đặc” hay cực mạnh, ví
dụ như không gian xung quanh hố đen chẳng hạn, có thể có tồn tại loại “ánh sáng”
di chuyển với vận tốc vô cùng chậm đối với sự quan sát của chúng ta khi so sánh
với loại ánh sáng thông thường c=3.108km/s. Ngược lại, tại thí dụ
trong trường hợp thứ ba đã chỉ ra trong không gian vũ trụ ở những
nơi trường lực hấp dẫn “loãng” hay rất yếu có tồn tại loại “ánh sáng” có vận tốc
cực lớn, lớn hơn vận tốc ánh sáng thông thường c=3.108 km/s trong hệ
quy chiếu của chúng ta. Thậm chí những nơi không gian vũ trụ không có trường hấp
dẫn, có thể “ánh sáng” di chuyển với vận tốc vô cùng lớn, gần như ngay tức khắc,
gần như không có khoảng cách. Do vậy, hệ quả suy ra từ thuyết tương đối:
vận tốc ánh sáng là giới hạn của mọi vận tốc không còn giá trị, (vận
tốc ánh sáng ở đây phải hiểu là vận tốc ánh sáng c=300.000 km/s chứ
không phải vận tốc “ánh sáng” c’’=300.000 (km/γ)/(s/γ) hay c’=300.000 km.γ/s.γ
). Từ đó thấy rằng công thức hệ số dãn trong thuyết tương đối hẹp
,
(từ công thức này Einstein suy ra vận tốc ánh sáng là giới hạn của mọi vận
tốc), là không đúng. Công thức hệ số dãn γ đó phải sửa thành
mới
đúng, mới có giá trị đảm bảo có những vận tốc “ánh sáng” lớn hơn vận tốc ánh
sáng thông thường trong vũ trụ như đã mô tả hết sức đơn giản để mọi người dễ
hiểu như trên.
Hà nội, ngày 12/4/2010
Lê văn Cường
Các bài cùng tác giả
▪
Tuyên Ngôn Về Hố Đen Vũ Trụ Và Triết Lý “Sắc Bất Dị Không...” -
Lê văn Cường
▪
Sự “Cong” Của Vận Tốc Ánh Sáng -
Lê văn Cường
▪
Vận Tốc Ánh Sáng Trong Không Gian Của Hố Đen -
Lê văn Cường
▪
Giải Thích Hiện Tượng Những Hạt Neutrino Chuyển Động Nhanh Hơn Vận Tốc Ánh Sáng -
Lê văn Cường
▪
Hiểu Biết Về Tâm Năng Dưỡng Sinh Và Đạo Phật -
Lê văn Cường
▪ ▪