 |
20-Feb-2012 |
(VTC News) - Thứ chữ Việt cổ mà ông Xuyền giải mã, thực sự là một thứ
chữ của một nền văn minh rực rỡ, loại chữ của một dân tộc mà trí tuệ đã
đạt đến một đỉnh cao nhất định.
Tôi phải công nhận rằng, ông giáo già Đỗ Văn Xuyền là người quá yêu dân tộc,
ông yêu lịch sử đất nước với một kiểu cách có thể nói là… điên rồ. Mấy chục
năm trời công sức và không biết bao nhiêu tiền của, ông đã đổ cả vào những
chuyến đi, chỉ với khát vọng chứng minh tổ tiên chúng ta từng có chữ viết.
Có những lúc, không tìm đâu ra tiền để đi, ông đã cầm cố cả sổ lương hưu của
mình.

Để có tiền đi thực tế, tìm chữ cổ, đã nhiều lần ông Xuyền phải cắm sổ hưu của mình.
Vậy nên, chẳng có gì lạ, khi có lần, đọc tài liệu của một nhà nghiên cứu
nói rằng, thời kỳ Vua Hùng, người Việt chẳng qua là một bộ lạc ăn hang ở lỗ,
ông đã giận đến rơi nước mắt. Ông Xuyền tin rằng, một bộ lạc sống trong hang,
cởi trần, đóng khố, đàn ông đi săn bắn, đàn bà hái lượm, không thể làm ra
được những chiếc trống đồng tinh xảo đến độ con người ngày nay không giải
thích nổi. Đó phải là sản phẩm của một nền văn minh rực rỡ, có chữ viết và
có một nền tảng khoa học tương đối vững chắc.
Quá trình tìm hiểu lịch sử tổ tiên, ông Xuyền nhận thấy rằng, thời kỳ Hùng Vương
là thời kỳ phát triển rực rỡ, đỉnh cao của người Việt cổ. Trước đó rất xa là
nền văn hóa Hòa Bình, nền văn hóa mà học giả Colani (người Pháp) đã phát hiện,
tuyên bố là “cái nôi của văn minh nhân loại”. Nền văn hóa này xuất hiện trước
Lưỡng Hà, Trung Quốc, Ấn Độ tới cả ngàn năm!

Bảng so sánh chữ Việt cổ với một số chữ của các dân tộc khác.
Qua quá trình thu thập, nghiên cứu chữ cổ của người Việt, ông Xuyền nhận
thấy, từ thời kỳ xa xưa, cho đến khi người Hán sang xâm lược, người Việt sử
dụng nhiều loại chữ, các loại chữ liên tục phát triển, từ hình vẽ sơ khai,
đến tượng hình đơn giản, tượng hình phức tạp và cuối cùng là một loại chữ
Việt cổ tượng thanh.
Sau khi sàng lọc, ông Xuyền tập trung vào loại chữ Việt cổ tượng thanh. Theo
ông, đây là loại chữ cuối cùng của người Việt cổ. Mặc dù Sĩ Nhiếp ra sức tiêu
diệt loại chữ này, song nó vẫn âm ỉ lưu giữ trong dân, đặc biệt là vùng sâu,
vùng xa.
Hồi nghe tin tỉnh Sơn La tìm được hàng ngàn cuốn sách cổ có ký tự lạ, ông đã
tìm lên và ăn dầm ở dề tại Sơn La để tìm hiểu. Mấy nhà nghiên cứu ở Trung tâm
Văn hóa người cao tuổi Việt Nam kể rằng, ông Xuyền đã khóc rất to khi thông báo
với các nhà nghiên cứu ở đây rằng, những tài liệu tìm được ở Sơn La là một kho
chữ Việt cổ.

Người dân vùng dân tộc thiểu số vẫn còn lưu giữ nhiều sách cổ. Trong những
cuốn sách cổ này vẫn còn hình bóng chữ Việt thời Hùng Vương
Ông Xuyền đã “nhặt” được rất nhiều ký tự rải rác trong những cuốn sách cổ
này, mà ông tin chắc đó là chữ cổ của người Việt. Những chữ là này nhìn qua
tưởng chữ tượng hình, nhưng thực tế, lại là chữ tượng thanh. Nhiều ký tự trong
các cuốn sách dùng để ghi âm tiếng nói của người Việt cổ. Nhiều dân tộc vùng
Tây Bắc đã sử dụng, lưu giữ, bảo tồn loại chữ này suốt hàng ngàn năm Bắc thuộc
và kéo dài đến khi xuất hiện chữ quốc ngữ, thậm chí đến nay vẫn sử dụng.
Nghiên cứu, tổng hợp các con chữ được ông Xuyền cho là sử dụng ở thời kỳ Hùng
Vương, ông thấy rằng, bộ chữ này không có dấu, gồm 47 chữ cái. Bộ chữ thỏa mãn
được 3 tiêu chuẩn kiểm tra ký tự của một dân tộc, được các nhà khoa học quốc
tế đề ra. Thứ nhất, bộ chữ ghi lại được đầy đủ tiếng nói của dân tộc. Thứ hai,
những đặc điểm của ngôn ngữ dân tộc thể hiện qua các đặc điểm của ký tự đó. Thứ
ba, giải quyết được các "nghi án" về ngôn ngữ, ký tự của dân tộc đó
trong quá khứ.

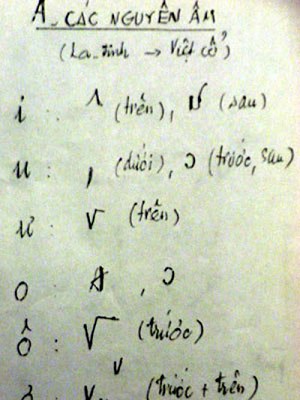
Một số nguyên âm chữ Việt cổ!
Có một thực tế, loại ký tự đó chỉ ghi âm được một phần nhỏ ngôn ngữ người
Việt hiện đang sử dụng. Nó không ghi được âm vực, vì không có dấu (sắc, hỏi,
huyền, ngã…). Nếu loại ngôn ngữ tượng thanh này mà không “ghi âm” được âm
thanh, thì sẽ không được thừa nhận hoặc việc giải mã thất bại.
Để chứng minh được khả năng “ghi âm” của những ký tự này, ông Xuyền phải đi khắp
Việt Nam để thực hiện các cuộc ghi âm, phỏng vấn. Ngay khi nghe tin trong Tây
Ninh có tộc người Tà Mun từ Tây Nguyên chuyển về, họ tự nhận là dân tộc Việt,
ông đã vào Tây Ninh tìm hiểu. Ông Xuyền tin rằng, tộc người này đúng là người
Việt cổ, vì họ nói bằng thứ tiếng Việt cổ hoàn toàn không có dấu.

Ông Xuyền viết hai câu thơ bằng chữ Việt cổ.
Rồi ông vào Quảng Bình, tìm đến dân tộc Chứt. Ông thấy dân tộc này nhuộm
răng đen, xăm trán. Họ ăn thịt gà nướng, canh cua đồng nấu măng, phụ nữ đẻ
“nằm bếp” như người Kinh thời xưa. Họ tự xưng là người Alak (người Lạc) và
tiếng của họ hoàn toàn không có dấu. A cho (chó), A ka (cá), kuan gôi (Con
gái), Mơ (mẹ)… Ông Xuyền sử dụng các ký tự Việt cổ có thể ghi lại được toàn
bộ ngôn ngữ của dân tộc này.
Theo một tài liệu của Trung Quốc, thì người gốc Ngô Việt ở Thượng Hải hiện cũng
chỉ nói có hai thanh là thanh cao và thanh trầm, tương đối giống với ngôn ngữ
người Việt cổ xưa.
Chẳng nói đâu xa, ngay vùng Ba Vì, Phúc Thọ, Thạch Thất của Hà Nội, người dân
vẫn nói không có dấu. Ông Xuyền đã tìm đến nhiều ngôi làng cổ ở Hà Nội, Phú Thọ,
Bắc Ninh, Thái Bình… và phát hiện tại những ngôi làng cổ, ít giao lưu với bên
ngoài, người dân vẫn nói bằng thứ ngôn ngữ rất nhẹ, không có thanh. Ông Xuyền
cũng đọc được nhiều tài liệu của các nhà ngôn ngữ nước ngoài, nhận xét rằng,
thế kỷ 16,17, người Việt Nam nói cứ líu ríu như tiếng chim, chẳng có thanh sắc
gì.


Hàng vạn cổ vật tinh xảo thời Hùng Vương được tìm thấy
Từ những phát hiện này, thầy giáo già Đỗ Văn Xuyền tin rằng, ngôn ngữ của
người Việt thời Hùng Vương không có thanh, như vậy, phù hợp với các ký tự,
chữ viết không có thanh (không có dấu) của người Việt cổ.
Theo ông Xuyền, chữ tượng thanh là chữ của thời hiện đại, của văn minh, của trí
tuệ và nó vượt xa thứ ngôn ngữ tượng hình của Trung Quốc. Theo quan điểm của
ông, thứ chữ tượng hình của Trung Quốc là loại chữ lạc hậu, cổ hủ nhất thế giới.
Bởi vì, người học phải mất mười năm dùi mài kinh sử, mới nhớ được một lượng chữ
nhất định và tất nhiên học cả đời cũng không nhớ hết được mặt chữ. Trong khi
đó, với loại chữ tượng thanh của người Việt cổ thời Hùng Vương, chỉ cần chú tâm
học 7 đến 10 ngày là có thể viết thành thạo, ghi lại được ngôn ngữ nói.

Một ông thầy cúng đang dạy chữ Dao cổ ở Bảo Thắng, Lào Cai
Theo ông Xuyền, chữ Việt cổ không ghi âm được phần lớn ngôn ngữ thời hiện
tại, vì trong hàng ngàn năm bị triệt hạ, thứ chữ này phải tồn tại một cách
lén lút trong các tộc người Việt gốc sống ở vùng sâu, vùng xa. Do không được
sử dụng rộng rãi, không được cải tiến cho phù hợp với sự phát triển của ngôn
ngữ nói chung, đặc biệt sự phát triển ngôn ngữ ở các vùng đô thị rất mạnh
mẽ, do giao lưu văn hóa với bên ngoài, nên thứ chữ này đã trở nên lạc hậu,
không sử dụng được nữa.
Bất cứ thứ chữ nào cũng vậy, đều được cải tiến liên tục cho phù hợp với ngôn
ngữ, cuộc sống thay đổi từng ngày, từng giờ. Một thứ chữ nằm im cả ngàn năm,
tự dưng lôi ra, ghi âm tiếng nói hiện tại, tất nhiên là khập khiễng. Tuy nhiên,
ông Xuyền khẳng định rằng, nếu đặt thứ chữ này vào ngôn ngữ thời xưa, hoặc ở
các vùng miền mà người dân vẫn nói giọng cổ, không có dấu, thì nó sẽ phát huy
tác dụng một cách gần như tuyệt đối.
Thứ chữ Việt cổ mà ông Xuyền giải mã, thực sự là một thứ chữ của một nền văn
minh rực rỡ, loại chữ của một dân tộc mà trí tuệ đã đạt đến một đỉnh cao nhất
định. Đó là trí tuệ của một thời đại có hàng ngàn năm độc lập, xây dựng và phát
triển – thời đại các Vua Hùng.
Còn tiếp…
Phạm Ngọc Dương
nguồn: https://vtc.vn/394-283229/phong-su-kham-pha/chu-viet-co-chu-cua-nen-van-minh-ruc-ro.htm
-------------------
Những bài liên quan đến Chữ Việt cổ:
» Giải
mã bí ẩn Bãi đá cổ Sa Pa (Vân Quế - VNNet)
» Chữ
Viết Khoa Đẩu Duy Nhất Trên Đá Cổ Sa Pa (Trần Vân Hạc)
» Bãi đá cổ
Sa Pa (Wikipedia)
» Điểm
đến thăm quan Sapa >> Bãi đá cổ Sa Pa (VietDiscovery.co)
» Thông
báo xuất bản sách chữ Việt cổ của giáo sư Lê Trọng Khánh (Trần
Vân Hạc)
» Giá
trị to lớn của cuốn sách chữ Việt cổ (Trần Vân Hạc)
» Yếu
tố Việt cổ trong ngôn ngữ Thái (Trần Vân Hạc)
» Đỗ Văn Xuyền: Chữ
Việt Cổ - Chữ Của Nền Văn Minh Rực Rỡ? (Phạm Ngọc Dương)
» Bí
ẩn chữ viết thời Hùng Vương (kỳ 3) (Phạm Ngọc Dương)
»
Sự thật ngôi miếu thờ thầy trò thời Hùng Vương (kỳ 2) (Phạm Ngọc
Dương)
»
Người 50 năm giải mã chữ của tổ tiên người Việt (kỳ 1) (Phạm Ngọc Dương)